- 二叉树的下一个结点
- 题目
- 解题思路
二叉树的下一个结点
题目
给定一个二叉树和其中的一个结点,请找出中序遍历顺序的下一个结点并且返回。注意,树中的结点不仅包含左右子结点,同时包含指向父结点的指针。
解题思路
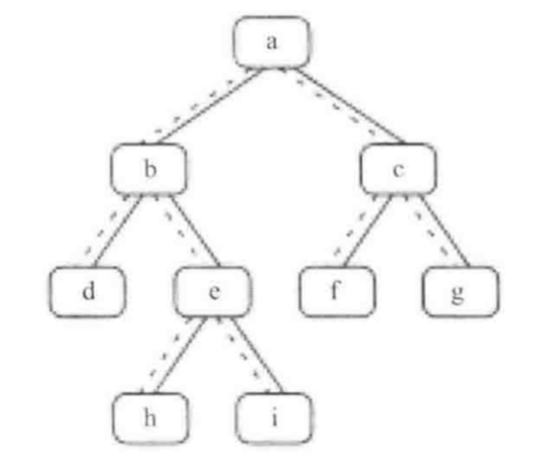
考虑以下二叉树:

其中序遍历的结果是:d,b,h,e,i,a,f,c,g
- 当前节点有右子树:右子树的最左节点 — b 节点
- 当前节点无右子树并且为父节点的左子树:父节点 — d 节点
- 当前节点无右子树并且为父节点的右子树:第一个祖先节点为左节点的节点 — i 节点
public TreeLinkNode GetNext(TreeLinkNode pNode) {if (pNode == null) return null;TreeLinkNode parent = pNode.next;if (pNode.right == null) {if (parent == null) {return null;}//右节点if (parent.right == pNode) {TreeLinkNode cursor = parent;while (true) {TreeLinkNode p = cursor.next;if (p == null) return null;if (cursor == p.left) return p;cursor = p;}} else {return parent;}} else {TreeLinkNode cursor = pNode.right;while (cursor.left != null) {cursor = cursor.left;}return cursor;}}
