• 7.2.词汇和定义

    7.2.词汇和定义

    现在我们已经看了一些图的示例,我们将更正式地定义图及其组件。我们已经从对树的讨论中知道了一些术语。

    顶点顶点(也称为“节点”)是图的基本部分。它可以有一个名称,我们将称为“键”。一个顶点也可能有额外的信息。我们将这个附加信息称为“有效载荷”。

    边(也称为“弧”)是图的另一个基本部分。边连接两个顶点,以表明它们之间存在关系。边可以是单向的或双向的。如果图中的边都是单向的,我们称该图是有向图。上面显示的课程先决条件显然是一个图,因为你必须在其他课程之前学习一些课程。

    权重边可以被加权以示出从一个顶点到另一个顶点的成本。例如,在将一个城市连接到另一个城市的道路的图表中,边上的权重可以表示两个城市之间的距离。

    利用这些定义,我们可以正式定义图。图可以由 G 表示,其中

     7.2.词汇和定义  - 图1。对于图 G,V 是一组顶点,E 是一组边。每个边是一个元组 7.2.词汇和定义  - 图2,其中 7.2.词汇和定义  - 图3。我们可以添加第三个组件到边元组来表示权重。子图 s 是边 e 和顶点 v 的集合,使得 7.2.词汇和定义  - 图4 7.2.词汇和定义  - 图5

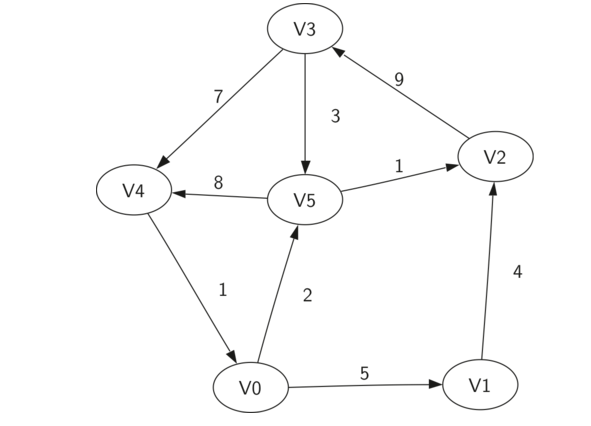
    Figure 2 展示了简单加权有向图的另一示例。正式地,我们可以将该图表示为六个顶点的集合:

     7.2.词汇和定义  - 图6

    和 9 条边的集合

     7.2.词汇和定义  - 图7

    7.2.词汇和定义.figure2Figure 2

    figure 2 中的示例图有助于说明两个其他关键图形术语:

    路径图中的路径是由边连接的顶点序列。形式上,我们将定义一个路径为

     7.2.词汇和定义  - 图9,使得 7.2.词汇和定义  - 图10, 当 7.2.词汇和定义  - 图11。未加权路径长度是路径中的边的数目,具体是 7.2.词汇和定义  - 图12 。加权路径长度是路径中所有边的权重的总和。例如在 Figure 2中,从 V3 到 V1 的路径是顶点序列 7.2.词汇和定义  - 图13。边是 7.2.词汇和定义  - 图14

    循环有向图中的循环是在同一顶点开始和结束的路径。例如,在 Figure 2中,路径

     7.2.词汇和定义  - 图15是一个循环。没有循环的图形称为非循环图形。没有循环的有向图称为有向无环图或 DAG 。我们将看到,如果问题可以表示为 DAG,我们可以解决几个重要的问题。