• 最近公共祖先LCA问题
    • 问题描述
    • 分析与解法
      • 解法一:暴力对待
        • 1.1、是二叉查找树
        • 1.2、不是二叉查找树
      • 解法二:Tarjan算法
        • 2.1、什么是Tarjan算法
        • 2.2、Tarjan算法如何而来
      • 2.3、Tarjan算法流程
      • 解法三:转换为RMQ问题
      • 3.1、什么是RMQ问题
        • 3.2、如何解决RMQ问题
          • 3.2.1、Trivial algorithms for RMQ
          • 3.2.2、Sparse Table (ST) algorithm
        • 3.3、LCA与RMQ的关联性
      • 3.4、从RMQ到LCA
      • 解法四:线段树
      • 其余解法

    最近公共祖先LCA问题

    问题描述

    求有根树的任意两个节点的最近公共祖先。

    分析与解法

    解答这个问题之前,咱们得先搞清楚到底什么是最近公共祖先。最近公共祖先简称LCA(Lowest Common Ancestor),所谓LCA,是当给定一个有根树T时,对于任意两个结点u、v,找到一个离根最远的结点x,使得x同时是u和v的祖先,x 便是u、v的最近公共祖先。(参见:http://en.wikipedia.org/wiki/Lowest_common_ancestor )原问题涵盖一般性的有根树,本文为了简化,多使用二叉树来讨论。

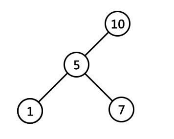
    举个例子,如针对下图所示的一棵普通的二叉树来讲:

    3.3 最近公共祖先LCA - 图1

    结点3和结点4的最近公共祖先是结点2,即LCA(3 4)=2 。在此,需要注意到当两个结点在同一棵子树上的情况,如结点3和结点2的最近公共祖先为2,即 LCA(3,2)=2。同理:LCA(5,6)=4,LCA(6,10)=1。

    明确了题意,咱们便来试着解决这个问题。直观的做法,可能是针对是否为二叉查找树分情况讨论,这也是一般人最先想到的思路。除此之外,还有所谓的Tarjan算法、倍增算法、以及转换为RMQ问题(求某段区间的极值)。后面这几种算法相对高级,不那么直观,但思路比较有启发性,了解一下也有裨益。

    解法一:暴力对待

    1.1、是二叉查找树

    在当这棵树是二叉查找树的情况下,如下图:

    3.3 最近公共祖先LCA - 图2

    那么从树根开始:

    • 如果当前结点t 大于结点u、v,说明u、v都在t 的左侧,所以它们的共同祖先必定在t 的左子树中,故从t 的左子树中继续查找;
    • 如果当前结点t 小于结点u、v,说明u、v都在t 的右侧,所以它们的共同祖先必定在t 的右子树中,故从t 的右子树中继续查找;
    • 如果当前结点t 满足 u <t < v,说明u和v分居在t 的两侧,故当前结点t 即为最近公共祖先;
    • 而如果u是v的祖先,那么返回u的父结点,同理,如果v是u的祖先,那么返回v的父结点。

    代码如下所示:

    1. //copyright@eriol 2011
    2. //modified by July 2014
    3. public int query(Node t, Node u, Node v) {
    4. int left = u.value;
    5. int right = v.value;
    6. //二叉查找树内,如果左结点大于右结点,不对,交换
    7. if (left > right) {
    8. int temp = left;
    9. left = right;
    10. right = temp;
    11. }
    12. while (true) {
    13. //如果t小于u、v,往t的右子树中查找
    14. if (t.value < left) {
    15. t = t.right;
    16. //如果t大于u、v,往t的左子树中查找
    17. } else if (t.value > right) {
    18. t = t.left;
    19. } else {
    20. return t.value;
    21. }
    22. }
    23. }

    1.2、不是二叉查找树

    但如果这棵树不是二叉查找树,只是一棵普通的二叉树呢?如果每个结点都有一个指针指向它的父结点,于是我们可以从任何一个结点出发,得到一个到达树根结点的单向链表。因此这个问题转换为两个单向链表的第一个公共结点。

    此外,如果给出根节点,LCA问题可以用递归很快解决。而关于树的问题一般都可以转换为递归(因为树本来就是递归描述),参考代码如下:

    1. //copyright@allantop 2014-1-22-20:01
    2. node* getLCA(node* root, node* node1, node* node2)
    3. {
    4. if(root == null)
    5. return null;
    6. if(root== node1 || root==node2)
    7. return root;
    8. node* left = getLCA(root->left, node1, node2);
    9. node* right = getLCA(root->right, node1, node2);
    10. if(left != null && right != null)
    11. return root;
    12. else if(left != null)
    13. return left;
    14. else if (right != null)
    15. return right;
    16. else
    17. return null;
    18. }

    然不论是针对普通的二叉树,还是针对二叉查找树,上面的解法有一个很大的弊端就是:如需N 次查询,则总体复杂度会扩大N 倍,故这种暴力解法仅适合一次查询,不适合多次查询。

    接下来的解法,将不再区别对待是否为二叉查找树,而是一致当做是一棵普通的二叉树。总体来说,由于可以把LCA问题看成是询问式的,即给出一系列询问,程序对每一个询问尽快做出反应。故处理这类问题一般有两种解决方法:

    • 一种是在线算法,相当于循序渐进处理;
    • 另外一种则是离线算法,如Tarjan算法,相当于一次性批量处理,一开始就知道了全部查询,只待询问。

    解法二:Tarjan算法

    如上文末节所述,不论咱们所面对的二叉树是二叉查找树,或不是二叉查找树,都可以把求任意两个结点的最近公共祖先,当做是查询的问题,如果是只求一次,则是单次查询;如果要求多个任意两个结点的最近公共祖先,则相当于是批量查询。

    涉及到批量查询的时候,咱们可以借鉴离线处理的方式,这就引出了解决此LCA问题的Tarjan离线算法。

    2.1、什么是Tarjan算法

    Tarjan算法 (以发现者Robert Tarjan命名)是一个在图中寻找强连通分量的算法。算法的基本思想为:任选一结点开始进行深度优先搜索dfs(若深度优先搜索结束后仍有未访问的结点,则再从中任选一点再次进行)。搜索过程中已访问的结点不再访问。搜索树的若干子树构成了图的强连通分量。

    应用到咱们要解决的LCA问题上,则是:对于新搜索到的一个结点u,先创建由u构成的集合,再对u的每颗子树进行搜索,每搜索完一棵子树,这时候子树中所有的结点的最近公共祖先就是u了。

    举一个例子,如下图(不同颜色的结点相当于不同的集合):

    3.3 最近公共祖先LCA - 图3

    假设遍历完10的孩子,要处理关于10的请求了,取根节点到当前正在遍历的节点的路径为关键路径,即1-3-8-10,集合的祖先便是关键路径上距离集合最近的点。

    比如:

    • 1,2,5,6为一个集合,祖先为1,集合中点和10的LCA为1
    • 3,7为一个集合,祖先为3,集合中点和10的LCA为3
    • 8,9,11为一个集合,祖先为8,集合中点和10的LCA为8
    • 10,12为一个集合,祖先为10,集合中点和10的LCA为10

    得出的结论便是:LCA(u,v)便是根至u的路径上到节点v最近的点。

    2.2、Tarjan算法如何而来

    但关键是 Tarjan算法是怎么想出来的呢?再给定下图,你是否能看出来:分别从结点1的左右子树当中,任取一个结点,设为u、v,这两个任意结点u、v的最近公共祖先都为1。

    3.3 最近公共祖先LCA - 图4

    于此,我们可以得知:若两个结点u、v分别分布于某节点t 的左右子树,那么此节点 t即为u和v的最近公共祖先。更进一步,考虑到一个节点自己就是LCA的情况,得知:

    • 若某结点t 是两结点u、v的祖先之一,且这两结点并不分布于该结点t 的一棵子树中,而是分别在结点t 的左子树、右子树中,那么该结点t 即为两结点u、v的最近公共祖先。

    这个定理就是Tarjan算法的基础。

    一如上文1.1节我们得到的结论:“如果当前结点t 满足 u <t < v,说明u和v分居在t 的两侧,故当前结点t 即为最近公共祖先”。

    而对于本节开头我们所说的“如果要求多个任意两个结点的最近公共祖先,则相当于是批量查询”,即在很多组的询问的情况下,或许可以先确定一个LCA。例如是根节点1,然后再去检查所有询问,看是否满足刚才的定理,不满足就忽视,满足就赋值,全部弄完,再去假设2号节点是LCA,再去访问一遍。

    可此方法需要判断一个结点是在左子树、还是右子树,或是都不在,都只能遍历一棵树,而多次遍历的代价实在是太大了,所以我们需要找到更好的方法。这就引出了下面要阐述的Tarjan算法,即每个结点只遍历一次,怎么做到的呢,请看下文讲解。

    2.3、Tarjan算法流程

    Tarjan算法流程为:

    1. Procedure dfsu);
    2. begin
    3. 设置u号节点的祖先为u
    4. u的左子树不为空,dfsu - 左子树);
    5. u的右子树不为空,dfsu - 右子树);
    6. 访问每一条与u相关的询问uv
    7. -若v已经被访问过,则输出v当前的祖先ttu,vLCA
    8. 标记u为已经访问,将所有u的孩子包括u本身的祖先改为u的父亲
    9. end

    普通的dfs 不能直接解决LCA问题,故Tarjan算法的原理是dfs + 并查集,它每次把两个结点对的最近公共祖先的查询保存起来,然后dfs 更新一次。如此,利用并查集优越的时空复杂度,此算法的时间复杂度可以缩小至O(n+Q),其中,n为数据规模,Q为询问个数。

    解法三:转换为RMQ问题

    解决此最近公共祖先问题的还有一个算法,即转换为RMQ问题,用Sparse Table(简称ST)算法解决。

    3.1、什么是RMQ问题

    RMQ,全称为Range Minimum Query,顾名思义,则是区间最值查询,它被用来在数组中查找两个指定索引中最小值的位置。即RMQ相当于给定数组A[0, N-1],找出给定的两个索引如 i、j 间的最小值的位置。

    假设一个算法预处理时间为 f(n),查询时间为g(n),那么这个算法复杂度的标记为\。我们将用RMQA(i, j) 来表示数组A 中索引i 和 j 之间最小值的位置。 u和v的离树T根结点最远的公共祖先用LCA T(u, v)表示。

    如下图所示,RMQA(2,7 )则表示求数组A中从A[2]~A[7]这段区间中的最小值:

    3.3 最近公共祖先LCA - 图5

    很显然,从上图中,我们可以看出最小值是A[3] = 1,所以也就不难得出最小值的索引值RMQA(2,7) = 3。

    3.2、如何解决RMQ问题

    3.2.1、Trivial algorithms for RMQ

    下面,我们对对每一对索引(i, j),将数组中索引i 和 j 之间最小值的位置 RMQA(i, j) 存储在M[0, N-1][0, N-1]表中。 RMQA(i, j) 有不同种计算方法,你会看到,随着计算方法的不同,它的时空复杂度也不同:

    • 普通的计算将得到一个 \ 复杂度的算法。尽管如此,通过使用一个简单的动态规划方法,我们可以将复杂度降低到 \。如何做到的呢?方法如下代码所示:
    1. //copyright@
    2. //modified by July 2014
    3. void process1(int M[MAXN][MAXN], int A[MAXN], int N)
    4. {
    5. int i, j;
    6. for (i =0; i < N; i++)
    7. M[i][i] = i;
    8. for (i = 0; i < N; i++)
    9. for (j = i + 1; j < N; j++)
    10. //若前者小于后者,则把后者的索引值付给M[i][j]
    11. if (A[M[i][j - 1]] < A[j])
    12. M[i][j] = M[i][j - 1];
    13. //否则前者的索引值付给M[i][j]
    14. else
    15. M[i][j] = j;
    16. }
    • 一个比较有趣的点子是把向量分割成sqrt(N)大小的段。我们将在M[0,sqrt(N)-1]为每一个段保存最小值的位置。如此,M可以很容易的在O(N)时间内预处理。

    3.3 最近公共祖先LCA - 图6

    • 一个更好的方法预处理RMQ 是对2^k 的长度的子数组进行动态规划。我们将使用数组M[0, N-1][0, logN]进行保存,其中M[ i ][ j ] 是以i 开始,长度为 2^j 的子数组的最小值的索引。这就引出了咱们接下来要介绍的Sparse Table (ST) algorithm。
    3.2.2、Sparse Table (ST) algorithm

    3.3 最近公共祖先LCA - 图7

    在上图中,我们可以看出:

    • 在A[1]这个长度为2^0的区间内,最小值即为A[1] = 4,故最小值的索引M[1][0]为1;
    • 在A[1]、A[2] 这个长度为2^1的区间内,最小值为A[2] = 3,故最小值的索引为M[1][1] = 2;
    • 在A[1]、A[2]、A[3]、A[4]这个长度为2^2的区间内,最小值为A[3] = 1,故最小值的索引M[1][2] = 3。

    为了计算M[i][j]我们必须找到前半段区间和后半段区间的最小值。很明显小的片段有着2^(j-1)长度,因此递归如下

    3.3 最近公共祖先LCA - 图8

    根据上述公式,可以写出这个预处理的递归代码,如下:

    1. void process2(int M[MAXN][LOGMAXN], int A[MAXN], int N)
    2. {
    3. int i, j;
    4. //initialize M for the intervals with length 1
    5. for (i = 0; i < N; i++)
    6. M[i][0] = i;
    7. //compute values from smaller to bigger intervals
    8. for (j = 1; 1 << j <= N; j++)
    9. for (i = 0; i + (1 << j) - 1 < N; i++)
    10. if (A[M[i][j - 1]] < A[M[i + (1 << (j - 1))][j - 1]])
    11. M[i][j] = M[i][j - 1];
    12. else
    13. M[i][j] = M[i + (1 << (j - 1))][j - 1];
    14. }

    经过这个O(N logN)时间复杂度的预处理之后,让我们看看怎样使用它们去计算 RMQA(i, j)。思路是选择两个能够完全覆盖区间[i..j]的块并且找到它们之间的最小值。设k = [log(j - i + 1)]。

    为了计算 RMQA(i, j),我们可以使用下面的公式:

    3.3 最近公共祖先LCA - 图9

    故,综合来看,咱们预处理的时间复杂度从O(N3)降低到了O(N logN),查询的时间复杂度为O(1),所以最终的整体复杂度为:\

    3.3、LCA与RMQ的关联性

    现在,让我们看看怎样用RMQ来计算LCA查询。事实上,我们可以在线性时间里将LCA问题规约到RMQ问题,因此每一个解决RMQ的问题都可以解决LCA问题。让我们通过例子来说明怎么规约的:

    3.3 最近公共祖先LCA - 图10

    3.3 最近公共祖先LCA - 图11

    注意LCAT(u, v)是在对T进行dfs过程当中在访问u和v之间离根结点最近的点。因此我们可以考虑树的欧拉环游过程u和v之间所有的结点,并找到它们之间处于最低层的结点。为了达到这个目的,我们可以建立三个数组:

    • E[1, 2*N-1] - 对T进行欧拉环游过程中所有访问到的结点;E[i]是在环游过程中第i个访问的结点
    • L[1,2*N-1] - 欧拉环游中访问到的结点所处的层数;L[i]是E[i]所在的层数
    • H[1, N] - H[i] 是E中结点i第一次出现的下标(任何出现i的地方都行,当然选第一个不会错)

    假定H[u]<Hv。可以很容易的看到u和v第一次出现的结点是E[H[u]..H[v]]。现在,我们需要找到这些结点中的最低层。为了达到这个目的,我们可以使用RMQ。因此 LCAT(u, v) = E[RMQL(H[u], H[v])] ,RMQ返回的是索引,下面是E,L,H数组:

    3.3 最近公共祖先LCA - 图12

    注意L中连续的元素相差为1。

    3.4、从RMQ到LCA

    我们已经看到了LCA问题可以在线性时间规约到RMQ问题。现在让我们来看看怎样把RMQ问题规约到LCA。这个意味着我们实际上可以把一般的RMQ问题规约到带约束的RMQ问题(这里相邻的元素相差1)。为了达到这个目的,我们需要使用笛卡尔树。

    对于数组A[0,N-1]的笛卡尔树C(A)是一个二叉树,根节点是A的最小元素,假设i为A数组中最小元素的位置。当i>0时,这个笛卡尔树的左子结点是A[0,i-1]构成的笛卡尔树,其他情况没有左子结点。右结点类似的用A[i+1,N-1]定义。注意对于具有相同元素的数组A,笛卡尔树并不唯一。在本文中,将会使用第一次出现的最小值,因此笛卡尔树看作唯一。可以很容易的看到RMQA(i, j) = LCAC(i, j)。

    下面是一个例子:

    3.3 最近公共祖先LCA - 图13

    3.3 最近公共祖先LCA - 图14

    现在我们需要做的仅仅是用线性时间计算C(A)。这个可以使用栈来实现。

    • 初始栈为空。
    • 然后我们在栈中插入A的元素。
    • 在第i步,A[i]将会紧挨着栈中比A[i]小或者相等的元素插入,并且所有较大的元素将会被移除。
    • 在插入结束之前栈中A[i]位置前的元素将成为i的左儿子,A[i]将会成为它之后一个较小元素的右儿子。

    在每一步中,栈中的第一个元素总是笛卡尔树的根。

    如果使用栈来保存元素的索引而不是值,我们可以很轻松的建立树。由于A中的每个元素最多被增加一次和最多被移除一次,所以建树的时间复杂度为O(N)。最终查询的时间复杂度为O(1),故综上可得,咱们整个问题的最终时间复杂度为:\

    现在,对于询问 RMQA(i, j) 我们有两种情况:

    • i和j在同一个块中,因此我们使用在P和T中计算的值
    • i和j在不同的块中,因此我们计算三个值:从i到i所在块的末尾的P和T中的最小值,所有i和j中块中的通过与处理得到的最小值以及从j所在块i和j在同一个块中,因此我们使用在P和T中计算的值j的P和T的最小值;最后我们我们只要计算三个值中最小值的位置即可。

    RMQ和LCA是密切相关的问题,因为它们之间可以相互规约。有许多算法可以用来解决它们,并且他们适应于一类问题。

    解法四:线段树

    解决RMQ问题也可以用所谓的线段树Segment trees。线段树是一个类似堆的数据结构,可以在基于区间数组上用对数时间进行更新和查询操作。我们用下面递归方式来定义线段树的[i, j]区间:

    • 第一个结点将保存区间[i, j]区间的信息
    • 如果i<j 左右的孩子结点将保存区间[i, (i+j)/2]和[(i+j)/2+1, j] 的信息

    注意具有N个区间元素的线段树的高度为[logN] + 1。下面是区间[0,9]的线段树:

    3.3 最近公共祖先LCA - 图15

    线段树和堆具有相同的结构,因此我们定义x是一个非叶结点,那么左孩子结点为2x,而右孩子结点为2x+1。想要使用线段树解决RMQ问题,我们则要要使用数组 M[1, 2 * 2[logN] + 1],这里M[i]保存结点i区间最小值的位置。初始时M的所有元素为-1。树应当用下面的函数进行初始化(b和e是当前区间的范围):

    1. void initialize(int node, int b, int e, int M[MAXIND], int A[MAXN], int N)
    2. {
    3. if (b == e)
    4. M[node] = b;
    5. else
    6. {
    7. //compute the values in the left and right subtrees
    8. initialize(2 * node, b, (b + e) / 2, M, A, N);
    9. initialize(2 * node + 1, (b + e) / 2 + 1, e, M, A, N);
    10. //search for the minimum value in the first and
    11. //second half of the interval
    12. if (A[M[2 * node]] <= A[M[2 * node + 1]])
    13. M[node] = M[2 * node];
    14. else
    15. M[node] = M[2 * node + 1];
    16. }
    17. }

    上面的函数映射出了这棵树建造的方式。当计算一些区间的最小值位置时,我们应当首先查看子结点的值。调用函数的时候使用 node = 1, b = 0和e = N-1。

    现在我们可以开始进行查询了。如果我们想要查找区间[i, j]中的最小值的位置时,我们可以使用下一个简单的函数:

    1. int query(int node, int b, int e, int M[MAXIND], int A[MAXN], int i, int j)
    2. {
    3. int p1, p2;
    4. //if the current interval doesn't intersect
    5. //the query interval return -1
    6. if (i > e || j < b)
    7. return -1;
    8. //if the current interval is included in
    9. //the query interval return M[node]
    10. if (b >= i && e <= j)
    11. return M[node];
    12. //compute the minimum position in the
    13. //left and right part of the interval
    14. p1 = query(2 * node, b, (b + e) / 2, M, A, i, j);
    15. p2 = query(2 * node + 1, (b + e) / 2 + 1, e, M, A, i, j);
    16. //return the position where the overall
    17. //minimum is
    18. if (p1 == -1)
    19. return M[node] = p2;
    20. if (p2 == -1)
    21. return M[node] = p1;
    22. if (A[p1] <= A[p2])
    23. return M[node] = p1;
    24. return M[node] = p2;
    25. }

    你应该使用node = 1, b = 0和e = N - 1来调用这个函数,因为分配给第一个结点的区间是[0, N-1]。

    可以很容易的看出任何查询都可以在O(log N)内完成。注意当我们碰到完整的in/out区间时我们停止了,因此数中的路径最多分裂一次。用线段树我们获得了\的算法

    线段树非常强大,不仅仅是因为它能够用在RMQ上,还因为它是一个非常灵活的数据结构,它能够解决动态版本的RMQ问题和大量的区间搜索问题。

    其余解法

    除此之外,还有倍增法、重链剖分算法和后序遍历也可以解决该问题。其中,倍增思路相当于层序遍历,逐层或几层跳跃查,查询时间复杂度为O(log n),空间复杂度为nlogn,对于每个节点先存储向上1层2层4层的节点,每个点有depth信息。