• 后缀树
    • 1.1、后缀树的定义
    • 1.2、后缀树的应用

    后缀树

    1.1、后缀树的定义

    后缀树(Suffix tree)是一种数据结构,能快速解决很多关于字符串的问题。后缀树的概念最早由Weiner 于1973年提出,既而由McCreight 在1976年和Ukkonen在1992年和1995年加以改进完善。

    后缀,顾名思义,就是后面尾巴的意思。比如说给定一长度为n的字符串S=S1S2..Si..Sn,和整数i,1 <= i <= n,子串SiSi+1…Sn便都是字符串S的后缀。

    以字符串S=XMADAMYX为例,它的长度为8,所以S[1..8], S[2..8], … , S[8..8]都算S的后缀,我们一般还把空字串也算成后缀。这样,我们一共有如下后缀。对于后缀S[i..n],我们说这项后缀起始于i。

    S[1..8], XMADAMYX, 也就是字符串本身,起始位置为1
    S[2..8], MADAMYX,起始位置为2
    S[3..8], ADAMYX,起始位置为3
    S[4..8], DAMYX,起始位置为4
    S[5..8], AMYX,起始位置为5
    S[6..8], MYX,起始位置为6
    S[7..8], YX,起始位置为7
    S[8..8], X,起始位置为8
    空字串,记为$。

    而后缀树,就是包含一则字符串所有后缀的压缩Trie。把上面的后缀加入Trie后,我们得到下面的结构:

    后缀树 - 图1

    仔细观察上图,我们可以看到不少值得压缩的地方。比如蓝框标注的分支都是独苗,没有必要用单独的节点同边表示。如果我们允许任意一条边里包含多个字 母,就可以把这种没有分叉的路径压缩到一条边。而另外每条边已经包含了足够的后缀信息,我们就不用再给节点标注字符串信息,只需要在叶节点上标注上每项后缀的起始位置

    于是我们得到下图:

    后缀树 - 图2

    这样的结构丢失了某些后缀。比如后缀X在上图中消失了,因为它正好是字符串XMADAMYX的前缀。为了避免这种情况,我们也规定每项后缀不能是其它后缀的前缀。要解决这个问题其实挺简单,在待处理的子串后加一个空字串就行了。例如我们处理XMADAMYX前,先把XMADAMYX变为 XMADAMYX$,于是就得到suffix tree—后缀树了,如下图所示:

    后缀树 - 图3

    1.2、后缀树的应用

    后缀树可以解决最长回文问题,那它和最长回文有什么关系呢?在此之前,我们得先知道两个简单概念:

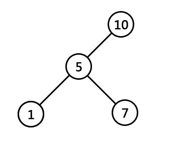
    • 最低共有祖先,LCA(Lowest Common Ancestor),也就是任意两节点(多个也行)最长的共有前缀。比如下图中,节点7同节点1的共同祖先是节点5与节点10,但最低共同祖先是5。 查找LCA的算法是O(1)的复杂度,当然,代价是需要对后缀树做复杂度为O(n)的预处理。

    后缀树 - 图4

    • 广义后缀树(Generalized Suffix Tree)。传统的后缀树处理一坨单词的所有后缀。广义后缀树存储任意多个单词的所有后缀。例如下图是单词XMADAMYX与XYMADAMX的广义后缀 树。注意我们需要区分不同单词的后缀,所以叶节点用不同的特殊符号与后缀位置配对。

    后缀树 - 图5

    有了上面的概念,本文引言中提出的查找最长回文问题就相对简单了。咱们来回顾下引言中提出的回文问题的具体描述:找出给定字符串里的最长回文。例如输入XMADAMYX,则输出MADAM。

    思维的突破点在于考察回文的半径,而不是回文本身。所谓半径,就是回文对折后的字串。比如回文MADAM 的半径为MAD,半径长度为3,半径的中心是字母D。显然,最长回文必有最长半径,且两条半径相等。

    还是以MADAM为例,以D为中心往左,我们得到半径 DAM;以D为中心向右,我们得到半径DAM。二者肯定相等。因为MADAM已经是单词XMADAMYX里的最长回文,我们可以肯定从D往左数的字串 DAMX与从D往右数的子串DAMYX共享最长前缀DAM。而这,正是解决回文问题的关键。现在我们有后缀树,怎么把从D向左数的字串DAMX变成后缀呢?

    到这个地步,答案应该明显:把单词XMADAMYX翻转(XMADAMYX=>XYMADAMXDAMX就变成后缀了就行了。于是我们把寻找回文的问题转换成了寻找两坨后缀的LCA的问题。当然,我们还需要知道 到底查询那些后缀间的LCA。很简单,给定字符串S,如果最长回文的中心在i,那从位置i向右数的后缀刚好是S(i),而向左数的字符串刚好是翻转S后得到的字符串S‘的后缀S’(n-i+1)。这里的n是字符串S的长度。

    拿单词XMADAMYX来说,回文中心为D,那么D向右的后缀DAMYX假设是S(i)(当N=8,i从1开始计数,i=4时,便是S(4..8));而对于翻转后的单词XYMADAMX而言,回文中心D向右对应的后缀为DAMX,也就是S’(N-i+1)((N=8,i=4,便是S‘(5..8)) 。此刻已经可以得出,它们共享最长前缀,即LCA(DAMYX,DAMX)=DAM。有了这套直观解释,算法自然呼之欲出:

    1. 预处理后缀树,使得查询LCA的复杂度为O(1)。这步的开销是O(N),N是单词S的长度 ;

    2. 对单词的每一位置i(也就是从0到N-1),获取LCA(S(i), S‘(N-i+1)) 以及LCA(S(i+1), S’(n-i+1))。查找两次的原因是我们需要考虑奇数回文和偶数回文的情况。这步要考察每坨i,所以复杂度是O(N) ;

    3. 找到最大的LCA,我们也就得到了回文的中心i以及回文的半径长度,自然也就得到了最长回文。总的复杂度O(n)。

    i为4时,LCA(4$, 5#)为DAM,正好是最长半径。此外,创建后缀树为O(n)的时间复杂度。