• 6.5 软间隔支持向量机

    6.5 软间隔支持向量机

    前面的讨论中,我们主要解决了两个问题:当数据线性可分时,直接使用最大间隔的超平面划分;当数据线性不可分时,则通过核函数将数据映射到高维特征空间,使之线性可分。然而在现实问题中,对于某些情形还是很难处理,例如数据中有噪声的情形,噪声数据(outlier)本身就偏离了正常位置,但是在前面的SVM模型中,我们要求所有的样本数据都必须满足约束,如果不要这些噪声数据还好,当加入这些outlier后导致划分超平面被挤歪了,如下图所示,对支持向量机的泛化性能造成很大的影响。

    28.png

    为了解决这一问题,我们需要允许某一些数据点不满足约束,即可以在一定程度上偏移超平面,同时使得不满足约束的数据点尽可能少,这便引出了“软间隔”支持向量机的概念

    1. * 允许某些数据点不满足约束y(w'x+b)≥1;
    2. * 同时又使得不满足约束的样本尽可能少。

    这样优化目标变为:

    29.png

    如同阶跃函数,0/1损失函数虽然表示效果最好,但是数学性质不佳。因此常用其它函数作为“替代损失函数”。

    30.png

    支持向量机中的损失函数为hinge损失,引入“松弛变量”,目标函数与约束条件可以写为:

    31.png

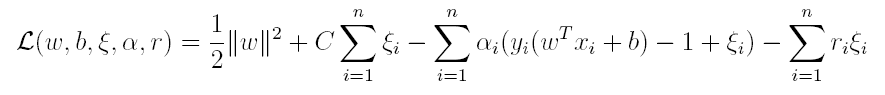
    其中C为一个参数,控制着目标函数与新引入正则项之间的权重,这样显然每个样本数据都有一个对应的松弛变量,用以表示该样本不满足约束的程度,将新的目标函数转化为拉格朗日函数得到:

    32.png

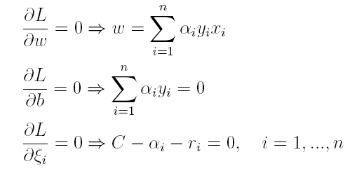
    按照与之前相同的方法,先让L求关于w,b以及松弛变量的极小,再使用SMO求出α,有:

    33.png

    将w代入L化简,便得到其对偶问题:

    34.png

    将“软间隔”下产生的对偶问题与原对偶问题对比可以发现:新的对偶问题只是约束条件中的α多出了一个上限C,其它的完全相同,因此在引入核函数处理线性不可分问题时,便能使用与“硬间隔”支持向量机完全相同的方法。

    ——在此SVM就介绍完毕。