- 15.4 学习与推断
- 15.4.1 变量消去
- 15.4.2 信念传播
15.4 学习与推断
对于生成式模型,通常我们都是先对变量的联合概率分布进行建模,接着再求出目标变量的边际分布(marginal distribution),那如何从联合概率得到边际分布呢?这便是学习与推断。下面主要介绍两种精确推断的方法:变量消去与信念传播。
15.4.1 变量消去
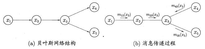
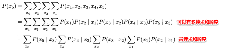
变量消去利用条件独立性来消减计算目标概率值所需的计算量,它通过运用乘法与加法的分配率,将对变量的积的求和问题转化为对部分变量交替进行求积与求和的问题,从而将每次的运算控制在局部,达到简化运算的目的。
15.4.2 信念传播
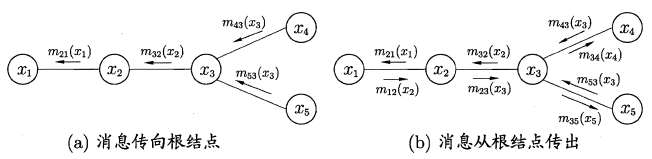
若将变量求和操作看作是一种消息的传递过程,信念传播可以理解成:一个节点在接收到所有其它节点的消息后才向另一个节点发送消息,同时当前节点的边际概率正比于他所接收的消息的乘积:
因此只需要经过下面两个步骤,便可以完成所有的消息传递过程。利用动态规划法的思想记录传递过程中的所有消息,当计算某个结点的边际概率分布时,只需直接取出传到该结点的消息即可,从而避免了计算多个边际分布时的冗余计算问题。
1.指定一个根节点,从所有的叶节点开始向根节点传递消息,直到根节点收到所有邻接结点的消息(从叶到根);2.从根节点开始向叶节点传递消息,直到所有叶节点均收到消息(从根到叶)。